Zkušenosti se stabilizovanými dusíkatými hnojivy při pěstování pšenice ozimé
01. 04. 2019 Hnojení Zobrazeno 3045x
K dosažení požadovaného výnosu a kvality zrna pšenice ozimé je nezbytný mj. přísun dostatečného množství dusíku jako základní živiny. Jeho spotřeba v ČR je na poměrně vysoké úrovni a činí v průměru 109,6 kg na každý hektar zemědělsky využívané půdy. Tato hodnota převyšuje spotřeby dusíkatých hnojiv na konci osmdesátých let minulého století, tzn. je vyšší než na konci socialistického způsobu hospodaření.
Na obhajobu vyššího množství použitého dusíku je třeba připomenout daleko nižší množství dusíku dodávaného ve stájových hnojivech, nižší míru fixace vzdušného dusíku jetelovinami kvůli jejich významně nižší výměře apod. Vyšší množství aplikovaných dusíkatých hnojiv skýtá současně riziko vyšších ztrát, a tím jejich nižší efektivitu.
Stabilizovaná hnojiva
Vytváří se tak prostor pro větší využití tzv. stabilizovaných hnojiv, která jsou schopna uvolňování dusíku zpomalit, a tím zajistit jeho kontinuální přísun pěstovaným plodinám.
Řadíme sem hnojiva s pomalým uvolňováním živin (ve světě označovaná jako SRF - slow-release fertilizers). Tato hnojiva obsahují živiny ve formě pomalu rozpustných sloučenin nebo živiny, které jsou přístupné až po mikrobiálním rozkladu. Rychlost uvolňování je ovlivněna teplotou, vlhkostí, pH půdy a aktivitou půdní mikroflóry. Jedná se především o produkty kondenzace močoviny s aldehydy (např. močovinoformaldehyd = ureaform).
Druhou skupinou jsou potom hnojiva s řízeným uvolňováním živin (CRF = controlled-release fertilizers), kde je pomalejší účinek zajištěn obalením granulí hnojiva ochranným filmem. Jako ochranný film mohou být použité různé anorganické (elementární síra, silikáty, sádra, …) i organické látky (parafin, oleje, vosky, pryskyřice…), popřípadě jejich kombinace. Výhodou této technologie je jednoduchá a účinná regulace uvolňování dusíku, která spočívá v úpravě mocnosti vrstvy ochranného filmu naneseného na granule hnojiva. Největší podíl obalovaných hnojiv tvoří močovina obalená sírou, která je prozatím asi nejlevnějším obalovým materiálem, a navíc splňuje roli sekundární živiny. Vzhledem k vyšší ceně se jejich využití rozšířilo především na golfových hřištích, fotbalových trávnících, ve školkách a ve sklenících. Rostoucí využití u zemědělských plodin je zaznamenáno v Severní Americe a v Číně.
Do skupiny stabilizovaných hnojiv jsou zařazovány také hnojiva s inhibitory ureázy nebo inhibitory nitrifikace. Většina těchto hnojiv je na bázi močoviny, která je v půdě běžně hydrolyzována extracelulárním enzymem ureáza na čpavek (s vodou je tvořen amonný kationt) a ten může být následně nitrifikován půdními mikroorganizmy na dusičnan. Chování obou iontů v půdě je odlišné. Kromě toho, že mohou být oba přijímány rostlinou, může být amonný kationt lehce přeměněn na čpavek a u něj je riziko ztrát volatilizací do ovzduší, zejména při aplikaci močoviny na povrch. Nitrifikací vzniklý dusičnan může být snadno vyplavován do nižších vrstev půdy a postupně až do podzemní vody. Může být také denitrifikován na elementární dusík nebo oxidy dusíku, tzn. plyny, které mohou opět unikat do atmosféry.
Inhibitory ureázy (IU) zpomalují proces hydrolýzy močoviny a ponechávají tak více času aplikované močovině proniknout po srážkách hlouběji do půdy. Zároveň dochází k omezení koncentrace amoniaku na povrchu půdy, ale také k omezení akumulace nitrátů. Na základě laboratorního testování dnes nachází v zemědělství jakožto inhibitor ureázy uplatnění například NBPT (N-(n-butyl) triamid kyseliny thiofosforečné), který nalezneme například v hnojivu UREA Stabil. Lze jej ale také využít ke stabilizaci hnojiva DAM-390, jehož je močovina součástí. Mezi další inhibitory ureázy patří PDA (fenyldiamid kyseliny fosforečné), 2-NPT (N-(2-nitrofenyl) triamid kyseliny fosforečné) nebo NPPT (N-(propyl) triamid kyseliny thiofosforečné). Nevýhodou IU je kratší doba působení (cca 2 týdny). Aplikace močoviny s IU je doporučeno především v oblastech s častými jarními přísušky, ale také v systémech zpracovaní půdy s posklizňovými zbytky na povrchu půdy.
Inhibitory nitrifikace (IN) omezují bakteriální oxidaci amonného iontu v půdě potlačením činnosti bakterií rodu Nitrosomonas na určitou dobu a zpomalují jeho přeměnu na dusitany a následně na dusičnany. Podstatou IN je zachování amonné formy dusíku co možná nejdéle, a tím omezení ztrát vyplavením a denitrifikací. U IN je žádoucí, aby se v půdě pohybovaly společně s dusíkem, jehož přeměnu ovlivňují. Použití močoviny s IN je vhodnější v oblastech s vyššími srážkami, popřípadě při vyšších jednorázových dávkách dusíku. Prvním IN byl nitrapyrin, který byl součástí přípravku N-serve. Výhodou byla jeho stabilita v chladnějších podmínkách, naopak nevýhodou je jeho nutné zapravení do větších hloubek a problematické je také jeho působení na nitrifikační bakterie rodu Nitrosomonas, jejichž část přímo zabíjí. Jedním z nejpoužívanějších IN je dikyandiamid (DCD), který bakterie neusmrcuje, ale pouze zpomaluje jejich biologickou aktivitu. Je vhodný pro povrchovou aplikaci na pevná dusíkatá hnojiva, jako je močovina nebo síran amonný, případně přímo zabudován do pevných hnojiv. Výhodou je jeho rozklad v půdě bez zanechání ekologicky nebezpečných produktů, limitující může být jeho cena. Příkladem hnojiva s inhibitorem DCD je ALZON 46 (inhibovaná močovina), ENSIN (inhibovaná DASA) nebo přípravek Piadin. Za velmi účinný inhibitor bývá označován také DMPP (3,4-dimethyl-1-(phosphonooxy)-1H-pyrazol-1-ium). Tento inhibitor má délku inhibice 4–10 týdnů a nachází se například v hnojivu ENTEC 26. Poměrně nedávno registrovaný inhibitor nitrifikace je potom MPA (N-((3(5)–methyl-1H-pyrazol-1-yl) ethyl) acetamide), který je vhodný je pro použití s pevnými hnojivy, včetně močoviny.
Použití hnojiv s inhibitory a faktory ovlivňující jejich efektivnost
Aplikace hnojiv s inhibitory s sebou přináší několik výhod, a to zejména lepší využití dusíku rostlinami a snížení ztrát vyplavováním nitrátů a těkáním amoniaku. Další výhodou je možnost slučování dávek, což umožňuje snížit počet přejezdů po pozemku.
K nevýhodám patří cena hnojiva, která je pochopitelně vyšší, a ne vždy je efektivnost stabilizovaných hnojiv z hlediska výnosu lepší.
Účinek inhibitorů v půdě je ovlivněn několika faktory. Velkou roli hrají abiotické faktory, zejména teplota (efektivita IN téměř lineárně klesá s nárůstem teploty). Vliv na inhibitory mají také chemické a fyzikální vlastnosti půdy, obsah organické hmoty a intenzita mikrobiální činnosti. Konkrétní zkušenosti ve vegetačních nádobových a polních pokusech se pro pšenici ozimou promítají v následujících dosažených výsledcích.
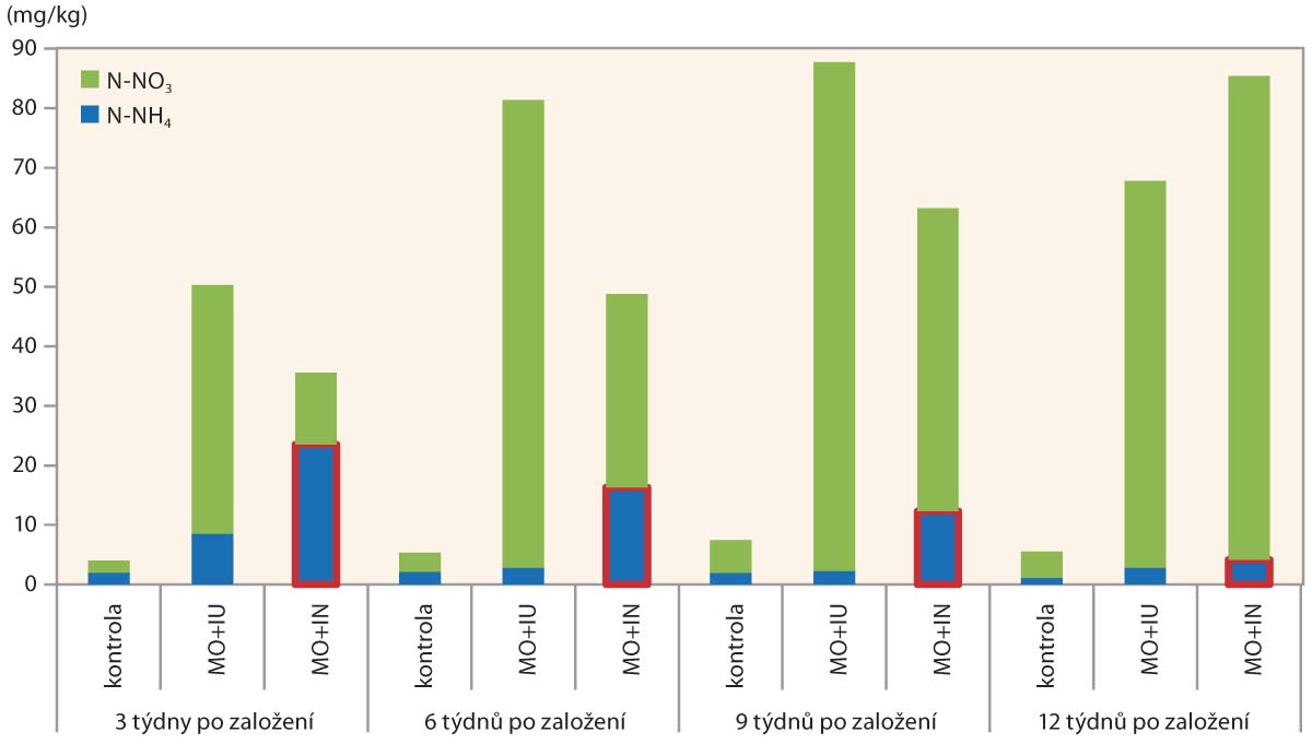
Graf 1: Obsahy minerálního dusíku po aplikaci hnojiv s inhibitory v nádobovém pokusu
Graf 2: Obsahy minerálního dusíku po aplikaci hnojiv s inhibitory v nádobovém pokusu
Nádobové experimenty
Pro porovnání efektu inhibitorů nitrifikace a ureázy byl na Mendelově univerzitě v Brně byl v roce 2007 založen nádobový pokus v řízených podmínkách klimaboxu. Pokus byl založen ve třech variantách, a to kontrola, močovina s inhibitorem ureázy (MO + IU) a močovina s inhibitorem nitrifikace (MO + IN). Dávka hnojiv odpovídala dávce 110 kg N/ha. V pravidelných třítýdenních intervalech (3, 6, 9 a 12 týdnů po založení) byly odebírány vzorky zeminy pro stanovení obsahu minerálního dusíku (mg/kg). Zjištěná množství dusíku v jednotlivých odběrech jsou znázorněna v grafu 1. Z výsledků je patrné, že u močoviny s inhibitorem nitrifikace bylo ještě po 9 týdnech od aplikace 6× více dusíku v amonné formě v porovnání s variantou s inhibitorem ureázy.
Podobný pokus při pokojové teplotě v laboratorních podmínkách a kratším časovém rozsahu byl založen i o rok později, tedy v roce 2008. Do pokusu byla zahrnuta kontrolní varianta, močovina (MO), močovina s inhibitorem ureázy (MO + IU), močovina s inhibitorem nitrifikace (MO + IN) a nakonec močovina s oběma inhibitory (MO + IN + IU). Dávka dusíku činila 200 mg/kg zeminy. Během prvního týdne od založení pokusu mezi jednotlivými obsahy minerálního dusíku nebyl velký rozdíl, jak je vidět z grafu 2. Výsledky z dalších termínů odběru již ale v podstatě kopírují předchozí pokus. U močoviny s inhibitorem nitrifikace bylo ještě po 5 týdnech od aplikace 4,5× více dusíku v amonné formě v porovnání s variantou s močovinou bez inhibitoru. Ze zkoumaných variant bylo v půdě nejvíce dostupného minerálního dusíku po aplikaci močoviny s oběma inhibitory, tj. ureázy i nitrifikace.
Tab. 1: Varianty pokusu s močovinou s inhibitorem nitrifikace
|
Varianta hnojení |
Regenerační hnojení |
I. produkční hnojení |
II. produkční hnojení |
|
MO + SA |
Močovina + SA gr. (1:1) (60 kg/ha N) |
Močovina + SA gr. (1:1) (40 kg/ha N) |
DAM 390 (40 kg/ha N) |
|
Raps Power 100% |
ALZON 46 + SA gr. (1:1) (100 kg/ha N) |
- |
DAM 390 (40 kg/ha N) |
|
Raps Power 80% |
ALZON 46 + SA gr. (1:1) (80 kg/ha N) |
- |
DAM 390 (40 kg/ha N) |
Tab. 2: Varianty pokusu s hnojivem DASA s inhibitorem nitrifikace
|
Varianta hnojení |
Regenerační hnojení |
I. produkční hnojení |
II. produkční hnojení |
|
LAD + LAD |
LAD (60 kg/ha N) |
LAD (40 kg/ha N) |
DAM 390 (40 kg/ha N) |
|
DASA + DASA |
DASA (60 kg/ha N) |
DASA (40 kg/ha N |
DAM 390 (40 kg/ha N) |
|
ENSIN 100 % |
ENSIN (100 kg/ha N) |
- |
DAM 390 (40 kg/ha N) |
|
ENSIN 80 % |
ENSIN (80 kg/ha N) |
- |
DAM 390 (40 kg/ha N) |
|
LAD + ENSIN |
LAD (40 kg/ha N) |
ENSIN (100 kg/ha N) |
- |
Obr. 1: Polní pokusná stanice Žabčice u Brna

Obr. 2: Výzkumná pícninářská stanice Vatín u Žďáru nad Sázavou
Polní experimenty
Maloparcelkové polní pokusy s hnojivy s inhibitory probíhaly na dvou rozdílných lokalitách, a to na Polní pokusné stanici MENDELU v Žabčicích u Brna (obr. 1) a na Výzkumné pícninářské stanici ve Vatíně u Žďáru nad Sázavou (obr. 2). Stanice Žabčice leží v kukuřičné výrobní oblasti v nivě řeky Svratky v nadmořské výšce 184 m n. m., s roční sumou srážek 480 mm a průměrnou roční teplotou 9,2 °C. Půdním typem je fluvizem glejová a z hlediska zrnitosti se jedná o půdu jílovitohlinitou až jílovitou. Stanice Vatín se nachází v bramborářské výrobní oblasti Českomoravské vrchoviny v nadmořské výšce 560 m n. m., s roční sumou srážek 617 mm a průměrnou roční teplotou 6,9 °C. Půdním typem je kambizem a z hlediska zrnitosti se jedná o půdu písčitohlinitou.
Ze sledovaných hnojiv s inhibitory byla vybrána skupina variant posuzujících vliv inhibitoru nitrifikace v močovině (ALZON 46) v kombinaci se síranem amonným a skupina variant sledujících účinek hnojiva DASA s inhibitorem nitrifikace (ENSIN) na výnos zrna pšenice ozimé.
První skupina variant využívá pozitivních výsledků kombinace hnojiv ALZON 46 a granulovaného síranu amonného u řepky ozimé, a odtud název směsného hnojiva Raps Power. Posouzení účinku této směsi u pšenice bylo realizováno v letech 2013–2015 na obou pokusných lokalitách. Vzhledem k vyšší ceně stabilizované močoviny byla zařazena také varianta se sníženou dávkou tohoto směsného hnojiva (80 %) - viz tabulka 1. Jak je z tabulky vidět, varianty hnojení s inhibitory snižují počet aplikací a aglomerují regenerační a 1. produkční dávku dusíku k pšenici ozimé.
Z průměrných dosažených výnosů pšenice ozimé (graf 3) je vidět, že na středně těžkých půdách s dobrou zásobou živin (Žabčice) bylo potřeba ke zvýšení výnosu potřeba aplikovat plnou dávku hnojiva Raps Power. Oproti tomu na lehkých půdách s deficitem esenciálních makroprvků (Vatín) došlo k navýšení výnosu i u nižší dávky hnojiva Raps Power. Vyšší teploty v Žabčicích mohou být také příčinou nižšího účinku hnojiva s inhibitorem nitrifikace oproti výnosovým výsledkům ve Vatíně. Při zprůměrování obou lokalit je pak patrné průměrné navýšení výnosu pšenice o 0,2 t/ha (necelé 3 %), k čemuž je znovu potřeba případně připočíst ušetření času a pohonných hmot, a v neposlední míře pozitivní vliv na životní prostředí.
Inhibitory nitrifikace mohou být účinným přídavkem nejen ke zpomalení nitrifikace amonného dusíku vznikajícího hydrolýzou močoviny v půdě, ale také ke snížení intenzity nitrifikace amonného dusíku obsaženého v hnojivu DASA. Proto byly v letech 2013–2015 založeny opět na obou lokalitách maloparcelkové polní pokusy s hnojivem ENSIN. Cílem bylo posoudit aplikaci inhibovaného hnojiva ENSIN k regeneraci porostu po zimě a nahrazující také 1. produkční dávku dusíku. Podobně jako u předchozího pokusu bylo zařazena i varianta s 20% snížením dávky. Kromě toho bylo testováno také posunutí aplikace hnojiva ENSIN až do počátku sloupkování a zaglomerování tak obou produkčních dávek dusíku do jedné - viz tabulka 2.
Dosažené výsledky ukazuje graf 4, ze kterého je zřejmé, že aplikace hnojiva ENSIN v porovnání s hnojivy bez inhibitorů dosahuje srovnatelných výnosových výsledků v plné dávce, při nižší dávce jsou výnosy v průměru o 0,3 t/ha nižší. Při posouzení termínu aplikace je zřejmé, že na obou lokalitách dosahuje posunutí aplikace hnojiva s inhibitorem nitrifikace až na počátek sloupkování (varianta LAD + ENSIN) vyšších výnosů, v průměru o 7,6 % oproti variantě LAD + LAD a o 6,0 % oproti variantě DASA + DASA.
Variantu LAD + ENSIN, tzn. regenerační dávku dusíku provedenou hnojivem LAD a až místo obou produkčních dávek použít hnojivo s inhibitorem nitrifikace ENSIN, sledujeme v pokusech od roku 2013 až do současnosti, a proto je možno konstatovat, že vychází dlouhodobě výnosově úspěšně, což dokresluje graf 5.
Graf 3: Výnosy zrna ozimé pšenice po aplikaci močoviny s inhibitorem nitrifikace
Graf 4: Výnosy zrna pšenice ozimé po aplikaci hnojiva DASA s inhibitorem nitrifikace
Graf 5: Výnosy zrna ozimé pšenice po aplikaci hnojiva DASA s inhibitorem nitrifikace
Literatura je k dispozici u autorů.
Další články v kategorii Hnojení











RSS
RSS