Výnosy a kvalita píce kukuřice na siláž v různých půdně-klimatických podmínkách ČR v roce 2020 - předběžné výsledky
04. 06. 2021 Hnojení Zobrazeno 975x
Kukuřice setá (Zea mays L.) je v České republice považována za stále významnou krmnou, potravinářskou, a také průmyslovou plodinou (Zimolka 2008; Menšík et al. 2018, 2020) pěstovanou na orné půdě. V současné době je přibližně 70 % kukuřice seté v ČR pěstováno na siláž, která představuje hlavní energetickou složku objemných krmiv pro hospodářská zvířata.

Dále je významnou energetickou surovinou pro výrobu biopaliv (bioetanol) a základním substrátem pro výrobu bioplynu (metanu) v zemědělských bioplynových stanicích. Zbylých 30 % tvoří kukuřice na zrno, která se využívá k výrobě krmiv pro všechny kategorie hospodářských zvířat, v potravinářství a pro průmyslové zpracování (ČSÚ 2020).
Sklizňové plochy kukuřice na siláž se pohybovaly v rozmezí 346 302 ha (1991) do 232 392 ha (2019) s výnosem od 25,95 (1994) do 41,79 t/ha (2011) v zelené hmotě, s postupným průměrným růstem viz proložení - polynom (graf 1). U sklizňových ploch kukuřice na siláž byl v souvislosti s poklesem stavů skotu zaznamenán v posledních 30 letech jednak jejich výrazný pokles, avšak přibližně od roku 2010 určitý vzestup, vzniklý v souvislosti s výstavbou a provozem bioplynových stanic.
Moderní hybridy kukuřice poskytují zemědělcům vysoké výnosy a umožňují pěstování i v oblastech, kde se dříve teplomilná kukuřice pěstovala jen ojediněle nebo s neúspěchem (pahorkatiny, vrchoviny). Další předností kukuřice je, že má vysoký energetický potenciál, který je možné využít k průmyslovému zpracování - krátká vegetační doba, sklizeň lze časově a efektivně plánovat apod. (Kunzová et al. 2018).
Silážní kukuřice se stala hlavní součástí krmné dávky dojnic, jako hlavního donora energie. Čím větší podíl energie z objemných krmiv vneseme do krmné dávky, tím méně potřebujeme dalších energetických zdrojů (drahá jadrná krmiva) pro dosáhnutí efektivní produkce mléka (Nerušil et al. 2016). Jestliže u hybridů pro výrobu kukuřičného zrna je důležitý především výnos zrna; pro výrobu siláže je kromě obsahu zrna (obsah škrobu v siláži) významná také kvalita píce, resp. stravitelnost vlákniny a jejich frakcí (NDF, ADF), která zásadním způsobem ovlivňuje příjem sušiny u dojnic (Jambor et al. 2019). U hybridů pro výrobu bioplynu je pak hlavním ukazatelem výnos sušiny z hektaru a hydrolýza vlákniny (Loučka et al. 2014).
Kukuřice v porovnání s jinými zemědělskými plodinami vykazuje určité rozdíly v reakci na pěstování a výživu. Aby rostlina mohla poskytnout vysoké výnosy, je důležité zajistit pro ni co nejlepší podmínky. Snahou pěstitele by mělo být, vytvoření optimálních podmínek pro zdárný vývoj rostlin, a tak maximálně využít jejího výnosového potenciálu. Průběh počasí je jedním z limitujících faktorů, který ovlivňuje výši produkce a dále i kvalitu píce.
Příspěvek hodnotí vliv hnojení na výnos sušiny a kvalitu píce (obsah škrobu, NDF, SOH apod.) u kukuřice na siláž ze sklizně v roce 2020 v dlouhodobých výživářských pokusech VÚRV, v. v. i. (Čáslav, Lukavec a Ivanovice na Hané) založených v roce 1956.
Graf 1: Trend vývoje sklizňových ploch a výnosů zelené hmoty v letech 1991–2019 (zdroj dat: ČSÚ 2020)
Výživářské pokusy
V dlouhodobých výživářských pokusech VÚRV, v. v. i. (označené jako VOP - výživářské osevní postupy) na stanovištích Čáslav, Lukavec a Ivanovice na Hané, založených v roce 1956 byl studován vliv hnojení na výnos sušiny a kvalitu píce u kukuřice na siláž (použitý hybrid Prestol /SAATEN-UNION CZ/ - FAO S 260) v roce 2020, viz tabulka 1.
Systém hnojení, dávky hnojiv a osevní postup byl jednotný na všech stanovištích. Byly vybrány čtyři varianty hnojení (statková + minerální hnojiva): (1) Kontrola (bez hnojení, pouze vápnění v dávce 2 t/ha - základní půdní úrodnost stanoviště); (2) Hnůj + 0 (dávka hnoje 40 t/ha + minerální hnojiva: N, P, K 0 kg/ha); (3) Hnůj + N3PK (dávka hnoje 40 t/ha + minerální hnojiva: N 120 kg/ha, P 80 kg/ha; K 100 kg/ha); (4) Hnůj + N2 (dávka hnoje 40 t/ha + minerální hnojiva: N 80 kg/ha). Dusík byl dodáván v ledku amonném s vápencem, fosfor v superfosfátu, draslík v draselné soli. Základní klimatické podmínky stanovišť uvádí tabulky 1, 2 a 3.
Velikost jednotlivých modelových honů se pohybuje od 0,40 do 0,60 ha. Každý modelový hon je rozdělen na 48 parcelek (12 variant hnojení ve 4 opakováních) o velikosti 8 × 8 m až 9 × 9 m. Sklizňová parcela (varianta hnojení) měří 5 × 5 m = 25 m2. Kvalita píce suché hmoty řezanky celých rostlin (n = 4) byla stanovena pomocí přístrojové techniky NIRS (disperzní spektrometr FOSS NIRSystems 6500 instrument /Company NIRSystems, Inc., Silver Spring, USA/) (Nerušil et al. 2016) v parametrech: dusíkaté látky, vláknina, obsah škrobu, neutrálně detergentní vláknina (NDF), stravitelnost organické hmoty (SOH) a stravitelnost neutrálně-detergentní vlákniny (SNDF). Statistické analýzy (ANOVA, LSD, HSD test; analýza hlavních komponet /PCA/, faktorová analýza /FA/) včetně grafických výstupů byly provedeny v programu Statistica (data analysis software system), verze 13 (TIBCO Software Inc., Palo Alto, USA, 2018).
Tab. 1: Základní výrobní a klimatické podmínky stanovišť
|
Charakteristika |
Stanoviště |
||
|
Čáslav |
Lukavec |
Ivanovice na Hané |
|
|
Výrobní typ |
řepařský |
bramborářský |
řepařský |
|
Nadmořská výška (m n. m.) |
263 |
620 |
225 |
|
Půda |
|||
|
Půdní typ |
černozem karbonátová - luvická (CEc/l/) |
kambizem modální (KMm) |
černozem modální (CEm) |
|
Půdní druh |
hlinitá |
písčitohlinitá |
hlinitá |
|
Hloubka ornice (m) |
0,40–0,50 |
0,15–0,20 |
0,35–0,45 |
|
Klimatické charakteristiky |
|||
|
Suma ročních srážek (mm) |
590 |
686 |
556 |
|
Průměrná roční teplota (°C) |
8,1 |
6,8 |
8,4 |
|
Klimatický region |
teplý, mírně vlhký |
mírně teplý, vlhký |
teplý, mírně suchý |
Tab. 2: Základní klimatické podmínky stanovišť (průměrné měsíční srážky) v roce 2020
Tab. 3: Základní klimatické podmínky stanovišť (průměrné měsíční teploty) v roce 2020
Výnos suché hmoty
Průběh počasí v hodnoceném vegetačním období 2020 bylo obdobně jako v roce 2019, i přes počáteční sucho v dubnu a chladný květen, oproti předchozím ročníkům 2017 a 2018 vcelku příznivé, což přispělo na sledovaných lokalitách k dosažení nadprůměrných výnosů silážní kukuřice (tab. 2 a 3). Celkově lze podle údajů ČHMÚ považovat ročník 2020 na území ČR za srážkově nadprůměrný. Sklizňová sušina silážní kukuřice v době sklizně byla na stanovišti Čáslav (32,5–36,4 %), Lukavec (35,4–39,3 %) a Ivanovice na Hané (42,9–44,3 %).
V roce 2020 se výnosy sušiny kukuřice na siláž pohybovaly v širokém rozpětí od 10,15 t/ha do 28,37 t/ha (jednoznačný vliv základních půdně-klimatických podmínek). Nejnižší výnosy byly vždy zaznamenány ve variantě Kontrola (půdní úrodnost stanoviště) na všech třech lokalitách (Čáslav, Lukavec, Ivanovice na H.) viz graf 2.
Vliv hnojení pouze hnojem (varianta Hnůj + 0) v roce 2020 na výnosy sušiny u kukuřice na siláž byl nejvyšší na stanovišti Lukavec /bramborářská výrobní oblast/ (16,94 t/ha oproti Kontrole (10,15 t/ha), statisticky významný rozdíl) a Čáslav (řepařská výrobní oblast) (18,95 t/ha oproti Kontrole (15,27 t/ha), statisticky významný rozdíl). V Ivanovicích na H. byl přírůstek výnosu minimální (0,23 t/ha, bez statisticky významného rozdílu). Hnojení dávkou dusíku N3 (120 kg/ha N) a dále N2 (80 kg/ha N) mnělo pozitivní vliv na výnos sušiny kukuřice v roce 2020 na stanovišti Lukavec a Ivanovice na H. (statisticky významný rozdíl oproti kontrole) viz graf 2. Na stanovišti Čáslav byly výnosy nižší než ve variantě Hnůj + 0.
Graf 2: Výnos sušiny u kukuřice na siláž (t/ha) na stanovištích Čáslav, Lukavec a Ivanovice na Hané v roce 2020
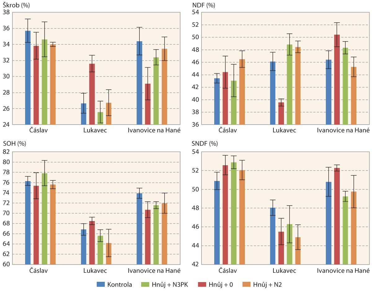
Kvalita píce řezanky kukuřice
Kvalita píce suché řezanky kukuřice stanovená pomocí technologie NIRS je uvedena v grafu 3. Hodnocení kvality píce ve vztahu k hnojení bylo v dlouhodobých pokusech VOP provedeno vůbec poprvé, jedná se o předběžné výsledky, které budou dále sledovány v období 2021–2023. Obsah škrobu byl stanoven od 25,5 do 35,7 %. Obsah NDF se pohyboval od 39,5 do 50,4 %. Stravitelnost organické hmoty (SOH) byla stanovena v rozpětí od 64,1 do 77,8 % a stravitelnost neutrodetergentní vlákniny (SNDF) 44,8–52,8 %.
Nejvyšší obsah škrobu v rámci všech variant byl zaznamenán na stanovišti Čáslav. Nižší hodnoty byly zjištěny pak na stanovišti Ivanovice na Hané.
Na lokalitě Lukavec byly zároveň zjištěny i nejnižší hodnoty SOH a SNDF (patrně vliv pro kukuřici méně příznivých půdně-klimatických podmínek). V hnojených variantách byly stanoveny nižší obsahy škrobu než na kontrole (výjimkou je varianta Hnůj + 0 na stanovišti Lukavec). Obsah NDF v hnojených variantách na většině lokalit byl vyšší než na kontrole (výjimkou je varianta Hnůj + 0 na stanovišti Lukavec). SOH v hnojených variantách na většině lokalit byl nižší než na kontrole (výjimkou je varianta Hnůj + N3PK na stanovišti Čáslav a varianta Hnůj + 0 na stanovišti Lukavec). Vyšší obsah SNDF v rámci všech variant byl zaznamenán na lokalitách Čáslav a Ivanovice na H.
Graf 3: Obsah škrobu, NDF, SOH a SNDF v řezance kukuřice u vybraných variant hnojení v roce 2020 na stanovištích Čáslav, Lukavec a Ivanovice na Hané
Multikriteriální hodnocení (výnosy a kvalita píce řezanky kukuřice)
Na grafu komponentních vah PC1, PC2 (graf 4 vlevo) jsou významné první dvě osy, které dohromady vyčerpávají cca 84 % variability v roce 2020. Osa PC1 v grafu PC1 x PC2 charakterizuje jednoznačně Škrob, SOH, Vláknina a SNDF, které jdou podél této osy a jsou s ní korelované -0,96, -0,92, 0,85 a -0,68. Na ose PC2 je korelace s parametrem Výnos (0,67) a NDF (0,72).
V rozptylovém diagramu komponentního skóre (graf 4 vpravo) jsou podél osy PC1 rozdělené jednoznačně lokality a varianty hojení z pohledu obsahu škrobu, SOH a vlákniny a dále jsou podle osy PC2 odlišeny varianty podle NDF a výnosu sušiny.
V rámci ČR se jednoznačně diferencovaly dva velké shluky - (1) lokality Ivanovice na Hané a Čáslav (výrobní oblast řepařská, půdní typ černozem), (2) lokalita Lukavec (bramborářská výrobní oblast, půdní typ kambizem). V rámci každého shluku můžeme ještě vyčlenit dílčí shluky (varianty hnojení). Varianty Hnůj + 0 a Hnůj + N3PK na stanovišti Ivanovice na Hané je odlišují od ostatních variant (nejvyšší výnos, nejvyšší obsah NDF, nižší obsah škrobu) v rámci obdobných přírodních podmínek. V rámci lokality Lukavec, se významně odlišili všechny hnojené varianty (varianty Hnůj + N3PK a Hnůj + N2 - vysoký výnos, vysoká NDF, velmi nízký obsah škrobu; varianta Hnůj + 0 - nižší výnos, vysoký obsah škrobu, vysoká stravitelnost organické hmoty /SOH/).
Faktorová analýza (FA) potvrdila výsledky analýzy PCA (graf 5). FA ve Faktoru 1 popisuje vlastnosti z hlediska obsahu škrobu, SOH a SNDF, Faktor 2 popisuje jednoznačně obsah NDF, vlákniny a výnos suché hmoty. Faktorové váhy vysvětlují korelace mezi faktory a znaky, komunalita představuje podíl proměnlivosti znaku, vyjádřené dotyčnými faktory /je obdobná hodnotě R2/ (Meloun, Militký 2012). Komunalita nabývá velmi vysokých hodnot (vyšší než 0,95), a tím jsou znaky hodnot (parametrů modelu) velmi dobře započteny navrženým faktorovým modelem (tab. 4).
Tab. 4: Faktorové váhy a příspěvky daného faktoru do komunality pro jednotlivé znaky parametrů výnosu a kvality píce v roce 2020
|
Parametr |
Faktorové váhy |
Příspěvky daného faktoru do komunality |
|||
|
Faktor 1 |
Faktor 2 |
Faktor 1 |
Faktor 2 |
Komunalita |
|
|
Výnos |
0,3217 |
0,5884 |
0,1035 |
0,4498 |
0,5952 |
|
Vláknina |
-0,5680 |
0,7542 |
0,3227 |
0,8916 |
0,9660 |
|
NDF |
-0,2458 |
0,9475 |
0,0604 |
0,9582 |
0,9434 |
|
Škrob |
0,9237 |
-0,3183 |
0,8533 |
0,9546 |
0,9742 |
|
SOH |
0,9617 |
-0,1602 |
0,9249 |
0,9505 |
0,9795 |
|
SNDF |
0,8748 |
0,1889 |
0,7654 |
0,8010 |
0,9311 |
|
Pozn.: NDF - neutrálně-detergentní vláknina, SOH - stravitelnost organické hmoty, SNDF - stravitelnost neutrálně-detergentní vlákniny |
|||||
Graf 4: Vícerozměrná matematicko-statistická analýza (PCA) parametrů produkce sušiny a kvality píce v roce 2020 v rámci stanovišť Čáslav, Lukavec a Ivanovice na Hané
Graf 5: Vícerozměrná matematicko-statistická analýza (FA) parametrů produkce sušiny a kvality píce v roce 2020 v rámci stanovišť Čáslav, Lukavec a Ivanovice na Hané
Závěr
Výnosy suché hmoty byly v roce 2020 v rámci rozdílných půdně-klimatických podmínek VOP velmi variabilní. Výsledky potvrzují významný stabilizační efekt dlouhodobé aplikace statkových hnojiv (hnůj) v horších půdně-klimatických podmínkách - lokalita Lukavec, půdní typ kambizem - (varianty Hnůj + 0, Hnůj + N3PK statisticky vyšší výnosy 16,94 a 20,83 t/ha oproti Kontrole 10,15 t/ha) a dále v Čáslavi (varianta Hnůj + 0). Hnojení dávkou dusíku N3 (120 kg/ha N) a dále N2 (80 kg/ha N) mnělo pozitivní vliv na výnos sušiny kukuřice v roce 2020 na stanovišti Ivanovice na Hané (statisticky významný rozdíl oproti kontrole).
Kvalita píce kukuřice (obsah škrobu, NDF, SOH apod.) ve vztahu k hnojení byla v dlouhodobých pokusech VOP stanovena poprvé. V současné době se jedná o předběžné výsledky, které budou dále sledovány v období 2021–2023 a následně budou komplexně vyhodnoceny. Obsah škrobu se u použitého hybridu v průměru hodnocených lokalit pohyboval v širokém rozpětí 25,5–35,7 %, resp. obsah NDF 39,5–50,4 %; stravitelnost organické hmoty (SOH) dosahovala 64,1–77,8 % a stravitelnost neutrálně-detergentní vlákniny (SNDF) 44,8–52,8 %.
Stabilizovat výnosy kukuřice se může podařit pouze efektivním využitím všech racionalizačních prvků.Jedným z nich je voľba správnej výživy a hnojenie, nakoľko kukurica tým, že vyprodukuje značné množstvo organickej hmoty, aj odčerpáva značné množstvo živín, a čím je hybrid výkonnejší, tým je náročnejší nielen na prostredie, ale aj na výživu a hnojenie. Jedním z nich je volba správné výživy a hnojení, protože kukuřice tím, že vyprodukuje značné množství biomasy, i odčerpává velké množství živin z půdy. Čím je hybrid kukuřice na siláž výkonnější, tím je náročnější nejen na prostředí, ale i na výživu a hnojení.
Literatura je u autorů.
Výsledek vznikl za podpory Ministerstva zemědělství, institucionální podpora MZe-RO 0418, QK1810010 a QK1910334. Poděkování dále patří panu Miroslavu Janečkovi, Dis. (Pokusná stanice Ivanovice), panu Jiřímu Míchalovi (Pokusná stanice Čáslav) a panu Václavu Veletovi (Soukromá pokusná stanice Lukavec) za zajištění a provoz polních pokusů.
Další články v kategorii Hnojení











RSS
RSS