Kvalita sklizně pšenice 2018 a hodnocení nejčastěji pěstovaných odrůd
08. 04. 2019 Sklizeň Zobrazeno 3319x
Kvalita pšenice sklizené v České republice v roce 2018 byla velmi dobrá. Požadavky na její pekárenské použití splnilo podle čtyř hodnocených parametrů (obsah bílkovin, objemová hmotnost, číslo poklesu, sedimentační test) 80 % sklizené pšenice, což je podstatně více, než v předchozích dvou letech (2017 - 66 %, 2016 - 58 %). Kvalita byla vyrovnaná s ohledem na jednotlivé parametry a vyrovnaný byl i podíl vyhovující pšenice sklizené v Čechách (vyhovělo 79 %) a na Moravě (vyhovělo 81 %). Celkem bylo mezi 551 hodnocenými vzorky ze všech regionů ČR zastoupeno 78 různých potravinářských odrůd (třídy E, A, B). Jaká byla kvalita těch nejpěstovanějších?
Monitoring kvality potravinářských obilovin
Hodnocení kvality potravinářské pšenice a žita na sklizňových vzorcích provádíme v Zemědělském výzkumném ústavu Kroměříž, s. r. o. a Agrotestu fyto, s. r. o. již řadu let. Ve spolupráci s Výzkumným ústavem pivovarským a sladařským, a.s. je sledován také ječmen. Díky pěstitelům ochotným posílat své vzorky k analýzám se stále zatím daří získávat dostatečně reprezentativní soubor vzorků ze všech regionů České republiky. Pěstitelé od nás na oplátku dostávají protokoly s výsledky rozborů svých obilovin.
Od roku 2011 je monitoring finančně podporován Ministerstvem zemědělství ČR, kterému výsledky zasíláme ve statisticky zpracované podobě, tj. bez vazby na konkrétního pěstitele. Obdobná sledování provádí i další evropské státy. Protože u jednotlivých vzorků jsou známy kromě lokality původu také údaje o odrůdě, výnosu, předplodině, hnojení a datu setí a sklizně, je možné výsledky využít pro hodnocení vlivu těchto faktorů na jednotlivé kvalitativní parametry a provést meziroční srovnání.
Odrůdové zastoupení pšenice
Odrůdové spektrum pěstované pekárenské pšenice bylo v roce 2018, stejně jako v minulých letech, velmi široké. Mezi 551 hodnocenými vzorky bylo celkem 86 různých odrůd. Nejčastěji zastoupenou odrůdou byla RGT Reform (A), která představovala 10,2 % všech vzorků. Následována byla odrůdami Genius (E) (8,0 %), Julie (E) (7,6 %), Tobak (B) (6,4 %), Viriato (A) (5,8 %), Dagmar (A) (3,4 %), Fakir (A) (3,3 %), Matchball (A) (3,3 %), Patras (A) (3,1 %) a Rivero (A/B) (2,7 %).
V grafu 1 je četnost pěstování těchto 10 odrůd v roce 2018 srovnána s jejich zastoupením v minulých dvou letech. Uvedeny jsou i odrůdy Annie, Pannonia NS, Rebell, Evina a Bohemia, které byly mezi desítkou nejpěstovanějších v minulých letech, v letošním roce byly pěstovány méně často. V letech 2017 a 2016 byl nejpěstovanější odrůdou Tobak, který dominoval zejména v roce 2016, kdy byl zastoupen 12 % všech vzorků. Ve sklizni 2018 se obsazení prvních třech míst obměnilo (2017: Tobak 8,8 %, RGT Reform 6,0 %, Genius 5,9 %; 2016: Tobak 11,9 %, Genius 7,5%, Julie 5,2 %). Do první desítky se v roce 2018 proti roku 2017 vrátily odrůdy Matchball a Fakir a vypadly odrůdy Bohemia a Pannonia NS. V roce 2018 tvořilo 10 nejčetnějších odrůd 54 % všech vzorků, v roce 2017 to bylo 46 %, stejně, jako v roce 2016.
Graf 1: Četnost zastoupení 10 nejčastějších odrůd ve sklizních let 2018, 2017 a 2016
Vlhkost zrna a podíl příměsí a nečistot
Kvalita pšenice je hodnocena podle požadavků ČSN 46 1100-2 pro pšenici setou -pekárenskou, tj. je stanovována vlhkost (max. 14 %), podíl příměsí a nečistot (max. 6 %), dále objemová hmotnost (min. 76 kg/hl), číslo poklesu (min 220 s), obsah N-látek (min. 11,5 %) a sedimentační index (Zelenyho test, min. 30 ml). Celkem bylo ze sklizně 2018 hodnoceno 551 vzorků pšenice. Vlhkost sklizeného zrna byla v roce 2018 nízká, v průměru 11,8 %. Souvisí to s celkovým suchým charakterem počasí. Sklizeň ozimé pšenice začala díky horkému a suchému počasí rekordně brzy, podle údajů doprovázejících vzorky od pěstitelů k analýzám byly první ozimé pšenice sklizeny již 9. 6. 2018. Průběh žní byl díky absenci srážek bezkonkurenčně nejrychlejší ve srovnání v řadě posledních 5 let. Na kvalitu zrna obecně má rychlý a bezesrážkový průběh žní samozřejmě příznivý dopad, jedinou výjimkou je obecně vyšší náchylnost zrna ke tvorbě zlomků, protože přesušené zrno je křehké. V roce 2018 mělo 40 % vzorků obsah zlomků vyšší než 3 %, což je maximální hranice daná normou.
Objemová hmotnost
V roce 2018 byla průměrná objemová hmotnost 80,2 kg/hl, což je třetí nejvyšší hodnota za posledních 12 let. Požadavku normy (minimálně 76,0 kg/hl) vyhovělo 95 % sklizené pšenice. O něco více vyhověla pšenice sklizená v Čechách (96 %) než na Moravě (93 %), a to zejména kvůli suchu. I když nedostatečné srážky trápily téměř všechny oblasti, snížená objemová hmotnost jako následek sucha se projevila zejména v nejcitelněji postižených oblastech, jako je jižní Morava.
Z 10 nejčastěji pěstovaných odrůd měly nejvyšší objemovou hmotnost odrůdy Dagmar (81,3 kg/hl) a Viriato (81,2 kg/hl). Objemová hmotnost 10 nejčastějších odrůd pšenice ve sklizni 2018 je znázorněna v tzv. krabicovém grafu 2. Graf je zkonstruován tak, že obdélníky představují rozpětí střední poloviny všech hodnot (tj. 2. a 3. čtvrtinu), silná černá úsečka v obdélníku představuje medián (hranice mezi polovinami) a černý bod průměrnou hodnotu. Úsečka představuje rozpětí neodlehlých hodnot, hodnoty statisticky vyhodnocené jako odlehlé jsou znázorněny samostatnými body. Statisticky homogenní skupiny vyznačené písmeny nahoře jsou rovněž zohledněny barvou krabic. Nejnižší průměrnou objemovou hmotnost měly odrůdy Tobak (78,1 kg/hl, normě vyhovělo 80% vzorků této odrůdy) a Patras (78,8 kg/hl, vyhovělo 88% vzorků). Dokladuje to velmi dobrou úroveň objemové hmotnosti v letošní sklizni, protože i průměry těchto odrůd s nejnižší objemovou hmotností jsou se značnou rezervou vyšší, než požaduje norma (76,0 kg/hl). V předchozích dvou letech (sklizeň 2016 a 2017) byla objemová hmotnost nejvíce problémovým kvalitativním faktorem u nás sklizené pšenice, normě vyhovělo 69 % (2016) a 77 % (2017) vzorků pšenice.
Graf 2: Objemová hmotnost 10 nejčastěji zastoupených odrůd v souboru 551 vzorků pekárenské pšenice sklizené v ČR v roce 2018; tmavě červená horizontální čára v grafu představuje požadavek normy (76,0 kg/hl)
Číslo poklesu
Průměrná hodnota FN dosáhla v roce 2018 328 s. Ve srovnání s požadavkem normy (220 s) je tato hodnota značně vyšší. V podmínkách posledních suchých let jsou vysoká čísla poklesu již celkem obvyklá, v roce 2017 byla průměrná hodnota 332 s, v roce 2016 to bylo 324 s. Rekordní byl z tohoto pohledu rok 2015 s průměrem 351 s. Tento rok byl svým charakterem počasí i rekordně rychlým průběhem sklizně roku 2018 značně podobný. Např. výše uváděný podíl nevyhovujících vzorků na obsah zlomků (pšenice s obsahem zlomků vyšším než 3 %) byl v roce 2015 ještě vyšší (44 %) než v roce 2018 (40 %). Společným jmenovatelem je sklizeň velmi suchého, křehkého zrna.
Mezi moravskými a českými kraji v hodnotách FN téměř žádné rozdíly nebyly a vyhovělo srovnatelně vzorků z Čech (96 %), jako z Moravy (97 %). Z jednotlivých odrůd dosáhla nejvyšších hodnot odrůda Genius (369 s), druhý byl Patras (358 s) (graf 3). Naopak nejnižší průměrné FN měla odrůda Julie (277 s), následovaná odrůdami Fakir (318 s) a Tobak (320 s). I tyto hodnoty však s přehledem splňují požadavek normy.
Graf 3: Číslo poklesu pro 10 nejčastěji zastoupených odrůd v souboru 551 vzorků pekárenské pšenice sklizené v ČR v roce 2018; tmavě červená horizontální čára v grafu představuje požadavek normy (220 s)
Obsah bílkovin
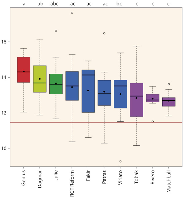
Průměrná hodnota ve výši 13,5 % je výrazně nad požadavkem normy 11,5 %. Obsah N-látek v pšenici ze sklizně 2018 lze z dlouhodobějšího hlediska pokládat za velmi dobrý a to i proto, že zároveň byly dosaženy slušné výnosy. Průměrný obsah bílkovin je sice mírně nižší, než v roce 2017 (2017: průměr 13,7 %; 2018: průměr 13,5 %), avšak podíl vyhovujících vzorků (>11,5 %) je v roce 2018 o něco vyšší (2017: 89 %; 2018: 94 %). Všechny sledované odrůdy měly průměr bezpečně nad požadavkem normy (graf 4). Nejvyšší obsah N-látek měla s mírným náskokem odrůda Genius (14,4 %), dále Dagmar (13,9 %) a Julie (13,7 %). Odrůdy kvalitativní třídy E tak obsadily 1. a 3. místo, mezi ně se dokázala umístit Dagmar jako odrůda třídy A. Tato odrůda má, navíc ke své dobré kvalitě, také nejnižší stupeň náchylnosti ke klasovým fuzáriím. Nejnižší obsah N-látek měla odrůda Matchball s průměrem 12,7 %, následovalo Rivero (12,8 %) a Tobak (12,9 %).
Graf 4: Obsah N-látek 10 nejčastěji zastoupených odrůd v souboru 551 vzorků pekárenské pšenice sklizené v ČR v roce 2018; tmavě červená horizontální čára v grafu představuje požadavek normy (11,5 %)
Sedimentační test
Jedná se o kvalitativní parametr, který je nejvíce ovlivněn odrůdou, tj. její geneticky danou kvalitou. Vliv podmínek prostředí však také není zanedbatelný. Sedimentační hodnota vyjadřuje objem sedimentu zkoušeného vzorku a velikost této hodnoty podává informaci o množství a jakosti pšeničného lepku. Pokud se sedimentační hodnota stanovuje metodou Zelenyho testu z pšenice, musí se zrno nakropit a semlít na speciálním mlýnku na hladkou mouku s obsahem popela do 0,60 %.
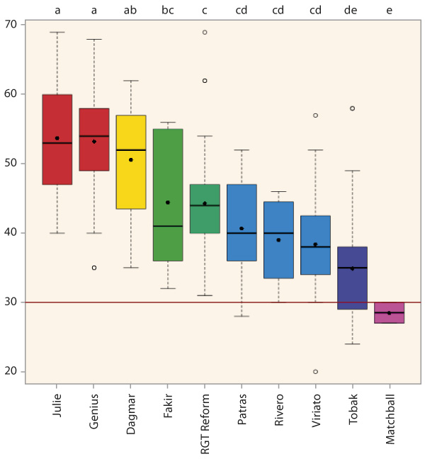
V roce 2018 činil průměr 45 ml. Normě vyhovělo 90 % vzorků pšenice: na Moravě to bylo 92 % vzorků, v Čechách 88 %. Ve srovnání s předchozím rokem 2017 se jedná o srovnatelně dobrý výsledek, průměr byl 46 ml a normě vyhovělo 92 % vzorků. V roce 2016 byla kvalita bílkovin o něco horší (41 ml/88 %). Ze sledovaných 10 odrůd měly nejvyšší hodnotu sedimentačního testu elitní odrůdy Julie (E) (průměr 54 ml) a Genius (E) (53 ml), následovány odrůdou Dagmar (A) (51 ml) (graf 5). Nejnižší hodnoty sedimentačního testu měla odrůda Matchball (třída A), s hodnotou průměru 28 ml, tedy těsně pod požadavkem normy (30 ml). Jediná odrůda třídy B zastoupená v první desítce, Tobak, měla průměrný obsah vyšší, a to 35 ml.
Graf 5: Hodnoty sedimentačního testu 10 nejčastěji zastoupených odrůd v souboru 551 vzorků pekárenské pšenice sklizené v ČR v roce 2018; tmavě červená horizontální čára v grafu představuje požadavek normy (30 ml)
Výnos
Výše výnosu u 10 nejčetnějších odrůd se pohybovala v průměru od 7,2 t/ha (Matchball) do 5,0 t/ha (Fakir). V grafu 6 jsou srovnány výnosy nejčastěji pěstovaných odrůd v roce 2018 s výnosy roku 2017. Odrůdy Matchball a Fakir v roce 2017 nebyly v nejčastěji zastoupené desítce, proto mohou být průměrné hodnoty jejich výnosu v tomto roce ovlivněny malým počtem vzorků. Stejně jako u kvalitativních parametrů, i u výnosu je zřejmá značná variabilita v rámci jedné odrůdy. Je třeba vzít v úvahu, že tyto výsledky nepochází z přesných polních pokusů. Jednotlivé vzorky pšenice byly pěstovány ve zcela odlišných podmínkách, a to jak s ohledem na technologii pěstování (zejména hnojení, předplodinu, ochranu rostlin) i půdní a klimatické podmínky. Z elitních pšenic měla nejlepší kombinaci výnosu a kvality odrůda Julie. V celkovém průměru přes všechny odrůdy byly v letech 2018 a 2017 výnosy shodné (6,3 t/ha - průměr na základě údajů pěstitelů u vzorků k analýzám). Srovnatelné výnosy byly také v obou letech dosaženy u odrůd Genius (6,3 t/ha) a Julie (6,8 t/ha). U některých odrůd byl výnos v roce 2018 o něco nižší (Patras, Viriato, Rivero), u některých o něco vyšší (RGT Reform, Tobak, Dagmar). Může to být dáno jak tím, že odrůdě lépe vyhovovaly podmínky konkrétního roku, tak však také rozložením původu vzorků jednotlivých odrůd a použitou agrotechnikou.
Graf 6: Průměrný výnos a rozpětí prostřední poloviny hodnot pro 10 nejčastěji zastoupených odrůd pekárenské pšenice sklizené v ČR v letech 2017 a 2018; odrůdy Matchball a Fakir v roce 2017 nebyly v nejčastěji zastoupené desítce, proto mohou být průměrné hodnoty jejich výnosu v tomto roce ovlivněny malým počtem vzorků (*)
Kvalitu ovlivňuje odrůda i prostředí
Výše uváděné výsledky jsou založeny na rozborech vzorků pšenice pocházejících ze zemědělské praxe, pěstovaných v různé úrovni vstupů a v různých klimatických podmínkách. Hodnocení nezohledňuje, jaká byla použita agrotechnika pěstování a zda byla v souladu s požadavky odrůdy. Sjednocující charakteristikou hodnocených vzorků pšenice je rok sklizně 2018 a skutečnost, že se jedná o pšenici pěstovanou zemědělskými subjekty v provozních podmínkách. Výběr vzorků pro analýzy ve smyslu zastoupení jednotlivých odrůd nebyl nijak ovlivňován. Byl založen výhradně na principu pokrytí území ČR ohledně počtu vzorků v závislosti na ploše pěstování pšenice v daném okrese a kraji. Prezentované hodnocení proto není možno chápat jako obecný popis vlastností konkrétní odrůdy a nemůže také nahradit hodnocení získané z přesných polních pokusů. Průměrné hodnoty kvalitativních parametrů mohou být ovlivněny i nerovnoměrným zastoupením odrůd z hlediska četnosti jejich pěstování v jednotlivých regionech.
Závěrem
Mezi odrůdami byly nalezeny statisticky průkazné rozdíly v kvalitě, což potvrzuje, že volba odrůdy je pro ekonomicky úspěšnou produkci pšenice velmi významná.
Pěstitelé však musí zohlednit své půdní a klimatické podmínky a dodržet nároky odrůdy na agrotechniku. Z výsledků našeho mnohaletého sledování kvality obilovin je velmi dobře patrný odraz charakteru počasí v jednotlivých letech i měnící se odrůdové složení. Je zřejmé, že většina nových odrůd má velmi dobrou kvalitu a zároveň také potenciál dosáhnout vysokého výnosu. Ne všem pěstitelům se to ovšem podaří. O odrůdách často nejsou k dispozici informace o pěstitelských nárocích nebo nejsou dodržovány. Přesto je na výsledcích sklizně obilovin v posledních letech vidět, že zemědělci u nás dokáží vypěstovat pšenici ve velmi dobré kvalitě a zároveň dosáhnout vysokého výnosu.
Poděkování patří všem pěstitelům obilovin posílajících dobrovolně vzorky pro účely tohoto monitoringu. Finančně bylo sledování kvality sklizně obilovin roku 2018 podpořeno příspěvkem MZe (Smlouva o dílo č. 258/2018-17221), částečné financování pocházelo z institucionální podpory na dlouhodobý koncepční rozvoj výzkumné organizace Agrotest fyto, s.r.o. (MZE-RO1118).
Další články v kategorii Sklizeň











RSS
RSS