Zápředníček polní - významný škůdce brukvovité zeleniny a řepky
03. 09. 2017 Škůdci Zobrazeno 4708x
V minulosti byl u nás považován za minoritní, relativně neškodný hmyz, a to zhruba do roku 1970, kdy začal působit více škod v některých oblastech s intenzivní chemickou ochranou.
Zápředníček polní (Plutella xylostella L.) je drobný motýl (obr. 1). Je rozšířen po celém světě (kosmopolitně) - všude tam, kde se pěstují brukvovité plodiny.
Obr. 1: Dospělci zápředníčka polního jsou v porostech nenápadní
Škodlivost
V minulosti byl u nás považován za minoritní, relativně neškodný hmyz, a to zhruba do roku 1970, kdy začal působit více škod v některých oblastech s intenzivní chemickou ochranou.
Housenky se v porostech zdržují na spodní straně listů a vzhledem ke své světle zelené barvě a menší velikosti bývají snadno přehlédnuty. Malé housenky skeletují listy (pokožka zůstává zachována, obr. 2). Starší housenky se přesouvají na mladé křehké listy a u zelí také dovnitř hlávek. Při větším počtu housenek na 1 rostlinu (přemnožení) ožerou celé listy s výjimkou silnějších žeber. Největší poškození působí housenky 2. až 3. generace, protože jsou početnější. Žír housenek může narušit tvorbu hlávky u zelí, květáku a brokolice.
Obr. 2: Při žíru mladých housenek zápředníčka zůstává pokožka listu zachována (skeletování) a vytváří se lesklé bílé skvrny na listech
Problémy s ochranou
Ochrana chemickými prostředky bývá problematická. Například v centrální Číně, kde se brukvovitá zelenina pěstuje nepřetržitě po celý rok, se provádí až 4 postřiky za měsíc. V některých oblastech je nutné postřikovat dokonce každých 3–5 dní. To vytváří velký selekční tlak, na který populace zápředníčků velmi rychle reagují a stávají se rezistentními snad vůči všem účinným látkám používaných pesticidů.
Zápředníček polní je považován za první organizmus, který vyvinul rezistenci vůči DDT. Rezistence zápředníčka polního vůči pyretroidům je známa ve světě od 80. let. Rezistentní populace se šíří jako aeroplankton, jak bylo prokázáno speciálními radary, například z území Holandska a Belgie na Britské ostrovy. Proto není vyloučeno šíření rezistentních jedinců ze západní Evropy na naše území.
Životní cyklus
Celý vývoj od vajíčka po dospělce trvá v příhodných podmínkách méně než 30 dní. V chladnějších klimatických oblastech, jako je střední Evropa, má zápředníček polní 4–5 generací za rok, zatímco v teplých jižních krajích to může být 8–12 generací a na jihu Číny, kde se zelenina pěstuje po celý rok, to může být až 20 generací.
První motýli se v České republice líhnou z přezimovaných kukel zhruba v polovině května. V porostu jsou špatně vidět. Létají až po západu slunce. Ihned po vylíhnutí jsou pohlavně dospělí a mohou se pářit. Samičky brzy na to začínají klást vajíčka podél listových žilek hostitelských rostlin. Housenky se líhnou zhruba po 6 dnech. Vývoj housenek trvá dle průběhu počasí 16–28 dní, vývoj kukly 12 –14 dní. Generace se často prolínají. Housenky posledního vývojového stupně si předou typický síťovitý zápředek, ve kterém se kuklí (obr. 3).
Obr. 3: Zápředníček polní v typickém síťovaném zápředku
Monitoring výskytu
Výskyt motýlů se monitoruje pomocí lapáků se syntetickým feromonem. Feromony jsou velmi účinné a obsluha lapáků je snadná (obr. 4).
V roce 2016 byly populace zápředníčka početnější než obvykle. Zejména v důsledku teplého a suchého průběhu počasí během léta a mírné zimy. V létě 2016 nalétalo na lapák běžně až 100 motýlů týdně (graf 1).
Podle náletu dospělců na lapák je možné odhadnout výskyt housenek, který nastává podle lokality o 11–21 dní později. Výskyt housenek je nutné sledovat přímo v porostu, a to nejlépe alespoň 1× týdně. Mladé housenky jsou velmi drobné, často tak na jejich aktivitu upozorní až poškození na rostlinách.
Práh škodlivosti pro zápředníčka na brukvovité zelenině je stanoven jako 3 % napadených rostlin housenkami.
Graf 1: Počty odchycených motýlů ve feromonových lapácích na polích s brukvovitou zeleninou na lokalitách v okolí Litoměřic, Obříství a Semic
Obr. 4: Feromonový lapák na poli s kedlubnami; motýli se začali slétat ihned po instalaci lapáku
Rezistence
Pro hodnocení citlivosti zápředníčka polního k účinným látkám pesticidů byla použita metodika IRAC č. 7 a 18.
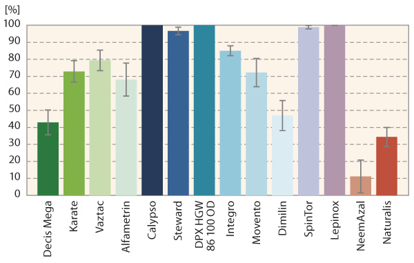
V letech 2015 a 2016 byla zjištěna rezistence zápředníčka z Litoměřické oblasti vůči pyretroidům (graf 2). Je vhodné tyto látky k postřiku na zápředníčky nepoužívat (zejména Decis Mega). Velmi účinné naopak byly přípravky Steward, Calypso či přípravky na bázi Bacillus thuringiensis ssp. kurstaki (Bt) a SpinTor (graf 3). Účinnost Bt potvrzuje také Kopta (2007). Nicméně ve světě je známa rezistence i vůči Bt produktům a doporučuje se střídat jejich kmeny (kurstaki, aizawai). V České republice kmen aizawai není povolen. Do integrované produkce lze dle výsledků doporučit ještě přípravky Integro a Movento.
Graf 2: Průměrná mortalita housenek zápředníčka polního z Litoměřicka po 24 a 48 hodinách; hodnoceno 5 koncentrací (20%, 60%, 100%, 500% a 1000%) roztoků přípravků Decis Mega a Karate Zeon; 100 % odpovídá doporučené polní dávce dle registru přípravků, 1000 % je potom dávka 10× vyšší - mortalita housenek při 1000% koncentraci se pohybovala mezi 60 a 80 %
Graf 3: Průměrná mortalita housenek zápředníčka polního z Litoměřicka po 24 a 48 hodinách; hodnoceno 14 různých přípravků - použitá koncentrace odpovídá doporučené polní dávce dle registru přípravků (100 %); mejvyšší mortalita byla dosažena u přípravků Calypso, Steward, DPX HGW 86 100 OD, SpinTor a Lepinox
Preventivní opatření
Mezi preventivní opatření patří dodržování osevních postupů, likvidace posklizňových zbytků a hluboká orba, která reguluje populace i jiných škodlivých organizmů. Výskyt brukvovitých plevelů časně na jaře podporuje rozvoj populací zápředníčka. V polních podmínkách mnoho malých housenek uhyne kvůli dešti.
V zelinářských provozech se závlahou je možné regulovat zápředníčka intenzivním zadešťováním. Uvádí se, že nejlepší je večerní postřik každý den. Vhodným opatřením je také „intercropping“, tzn. pěstování jiné kultury (např. salát) spolu s brukvemi. V takovém uspořádání je zápředníček méně početný a je více napadán parazitoidy. Další možností je obsev. Pole s méně atraktivní plodinou (zelí) se obseje kapustou či hořčicí, kterým dají zápředníčci přednost. Výběr vhodných odrůd také napomáhá snížit riziko poškození rostlin. Vhodné jsou odrůdy s lesklými voskovými listy, které lépe odolávají housenkám.
Chemická ochrana
V systému integrované produkce zeleniny a při ochraně řepky na podzim se při zjištění rezistence zápředníčka vůči pyretroidům doporučují neonikotinoidy a přípravky na bázi indoxacarbu (Steward) a přípravek Integro. Přípravky SpinTor a Lepinox Plus (Bt) jsou povoleny v ČR pro použití v ekologickém zemědělství. Bt je obzvláště šetrný k parazitoidům zatímco SpinTor nikoliv. Ošetření Lepinoxem lze sloučit s ochranou proti běláskům a ostatním druhům motýlů, nebude však působit na brouky (dřepčíci).
Vždy je nutné použití ochranných postřiků přizpůsobit konkrétní situaci na poli na základě provedeného monitoringu. Ochrana se tím může velmi zefektivnit za současného snížení negativních dopadů na životní prostředí. Optimální termín ošetření je v době maxima líhnutí housenek z vajíček, což je asi týden po letové vlně samců na lapácích.
Antirezistentní strategie
Při prokázání rezistence zápředníčka polního vůči pyretroidům, jak bylo zjištěno u populace ze Severních Čech, se nedoporučuje pro ochranu proti tomuto škůdci pyretroidy používat, stejně jako další málo účinné přípravky. Doporučuje se dodržovat dávkování pro polní aplikaci a dávku nesnižovat, a to ani v případě, že je dostatečně účinná, protože pak přežívá více odolných jedinců a riziko selekce rezistence se zvyšuje.
Rezistence je u zápředníčka podmíněna geneticky a v populaci se udržuje několik let. Pokud selekční tlak určitého insekticidu pomine, je možné ho po nějaké době (cca 10 let) znovu používat. Doporučuje se střídat účinné látky tak, aby nevznikal jednostranný selekční tlak.
Podpora výskytu přirozených nepřátel
Zápředníček polní má celou řadu nepřátel (predátorů a parazitoidů). Avšak ti se v polních podmínkách uplatňují hůře, vzhledem k prováděným postřikům a nepříznivému prostředí, kde chybí úkryty a zdroje potravy. Situace se začíná zlepšovat s používáním selektivních insekticidů. Parazitace tak může dosahovat poměrně významných hodnot (okolo 30 %). Přestože sama o sobě na regulaci zápředníčka nestačí, jedná se o výhodný „booster“ ke klasické ochraně.
Nejhojnějším parazitoidem je blanokřídlý lumek Diadegma semiclausum (délka těla 5 mm, obr. 5). Ze spektra hodnocených přípravků vykazují nejvyšší selektivitu produkty Lepinox a Integro. Přípravek SpinTor, ačkoliv je registrován do „bia“, poměrně účinně likviduje blanokřídlé parazitoidy.
Obr. 5: Nepatrný lumek Diadegma semiclausum (tělo 5 mm) významně reguluje populace zápředníčka polního
Závěr
Prováděná chemická ochrana polních plodin a zeleniny by měla být plánována podle aktuálního výskytu škodlivých organizmů, kteří jsou zjištěni na poli nejlépe pečlivým monitorováním.
Podle toho se zvolí optimální přípravky tak, aby zasáhly co nejširší spektrum přítomných škůdců. Při tom je vhodné preferovat přípravky šetrné k užitečnému hmyzu, neboť ten může zdarma zlikvidovat až 30 % populace škodlivého hmyzu. A dále vyhýbat se použití u přípravků, které nemají dostatečnou účinnost. Účinné látky pesticidů je třeba střídat, aby se zamezilo či alespoň zpomalilo selektování rezistence.
Chemickou ochranu je dobré doplnit vhodnými agrotechnickými a preventivními metodami. Velmi prospěšná je například hluboká orba či obsevy „lapací“ plodinou a pečlivá likvidace posklizňových zbytků, na kterých škůdci přezimují.
Práce byla podpořena grantem MZe QJ1610217 Inovace systému integrované ochrany řepky pro omezení negativních dopadů současné technologie pěstování.
Ing. Kateřina Kovaříková, Prof. Ing. RNDr. František Kocourek, CSc.; Výzkumný ústav rostlinné výroby, v.v.i. Praha-Ruzyně
all foto©K. Kovaříková
Další články v kategorii Škůdci











RSS
RSS