Povětrnostní podmínky pro pěstování brambor a prognóza plísně bramboru v roce 2019
28. 07. 2020 Choroby Zobrazeno 965x
Po výjimečně teplém a suchém roce 2018 došlo v loňském roce k mírnému zlepšení povětrnostních podmínek z hlediska pěstování brambor. I když nenastal jejich návrat do mezí, jaké se vyskytovaly v minulosti, tak alespoň do stavu, jaký tu byl v posledních několika letech. Bylo o něco méně horkých dnů a naopak více dnů se srážkami, přesto k ideálním povětrnostním podmínkám bylo ještě daleko a zřejmě se jich jen tak brzy nedočkáme.
Teplota
Povětrnostní statistiky uvádějí, že loňský rok se zařadil jako druhý nejteplejší v historii měření hned za předcházející rok 2018 s rozdílem pouhých několika desetin °C. Z hlediska vegetačního období však byly rozdíly podstatně větší, jelikož v roce 2018 se většina nadnormálně teplých měsíců soustředila do něj, v roce 2019 byly výrazně teplejší mj. i měsíce v mimovegetačním období, takže samotné vegetační období svým teplotním charakterem patřilo spíše k těm, na jaké jsme byli zvyklí z let před rokem 2018.
Nerovnoměrné rozložení odchylek teplot od počátku roku dokládají i grafy 1 a 2 se znázorněním průměrných měsíčních teplot a jejich srovnáním s dlouhodobými průměry za různá období pro Havlíčkův Brod v bramborářské oblasti a Moravský Žižkov u Břeclavi v oblasti rano-bramborářské. Pokud v roce 2018 prakticky všechny měsíce od dubna až do konce roku byly teplotně nadnormální, loni tomu bylo poněkud jinak. Vyšší teploty byly naměřeny v měsících únoru a březnu, dubnová teplota byla již jen o trochu vyšší než průměr posledních let a výraznější ochlazení nastalo v květnu, jehož teplota byla dokonce nižší než průměrné teploty typické pro období druhé poloviny minulého století. Tyto nízké teploty byly následně vykompenzovány vysokými teplotami v červnu, jehož průměrná teplota byla o několik stupňů vyšší než v předchozím roce a i v celoplanetárním měřítku se tento měsíc zařadil k nejteplejším doposud naměřeným červnům. V červenci, v důsledku několika vpádů chladnějšího vzduchu, došlo k tomu, že jeho průměrná teplota byla jenom o něco vyšší, než udává dlouhodobý průměr a obdobně tomu bylo i v srpnu, jehož odchylka od průměru se pohybovala pod „přijatelnými“ 2 °C. V září se odchylky ještě více snížily, načež následovaly výrazněji nadnormální měsíce až do konce roku. Toto rozložení teplot zapříčinilo, že rok jako celek byl opravdu teplotně výrazně nadnormální, avšak vegetační období již méně. Odchylky teplot pro obě lokality mají velmi podobný průběh, z čehož lze usoudit, že teplotní charakter ročníku byl na většině území naší republiky bez podstatnějších rozdílů.
Průměrné teploty od dubna do srpna, tedy po většinu vegetačního období pěstování brambor (graf 3), se v průměru pohybovaly na úrovni let 2016 a 2017 v závislosti na lokalitě. Mezi těmito ročníky byl poměrně malý rozdíl a tvoří pravděpodobně již něco, co by se dalo označit jako nový teplotní standard. Rok 2015 byl teplejší a samozřejmě výrazně teplejší byl taky rok 2018.
Zvyšování teplot v souvislosti s globální změnou klimatu se odráží i ve změně vegetačních pásem. Neposouvají se jenom lesní vegetační stupně, kde je v současnosti tento posun zřejmě nejviditelnější, avšak i na ostatních plochách se teplotní poměry ve vyšších nadmořských výškách přibližují k těm, jež se v minulosti nacházely o několik set metrů níže. Pokles teploty s nadmořskou výškou je u nás víceméně rovnoměrný a nemění se ani se změnou klimatu, co se však výrazněji mění je celkový posun těchto přímek směrem k vyšším hodnotám. Názornou ukázkou tohoto jevu je graf 4 dokládající, že oproti poměrům před 100 lety jsou průměrné teploty posledních let (s výjimkou roku 2018) v celém našem prostoru asi o 1,8 °C vyšší, čemuž odpovídá posun v nadmořské výšce přibližně o 180 m. S tím je zřejmě již možno počítat při volbě pěstovaných plodin a jejich odrůd a volit ty s vyššími nároky na teplotní sumy. Se zvyšováním teplot samozřejmě souvisí i posun výskytu hmyzích škůdců do vyšších poloh, popřípadě nárůst počtu jejich generací v nižších polohách. U brambor mezi ně patří zejména mandelinka bramborová. Začínají se objevovat v důsledku tohoto posunu i nové invazivní druhy z teplejších oblastí, nalézající u nás vhodné podmínky ke svému životu.
Poměrně chladný květen byl doprovázen na některých místech i pozdnějším výskytem přízemních mrazíků. Zatímco na jižní Moravě (Hrádek, Mor, Žižkov) byly naposledy zaznamenány ve druhé dekádě dubna, v oblasti Vysočiny se vyskytly až v polovině května (graf 5).
Graf 1: Průměrné měsíční teploty v roce 2019 a jejich srovnání s dlouhodobým průměrem - Havlíčkův Brod
Graf 2: Průměrné měsíční teploty v roce 2019 a jejich srovnání s dlouhodobým průměrem - Moravský Žižkov
Graf 3: Průměrné teploty vzduchu za období IV.–VIII. v jednotlivých letech
Graf 4: Závislost teploty vzduchu za IV. až VIII. na nadmořské výšce
Graf 5: Termín výskytu poslední záporné přízemní minimální teploty
Graf 6: Kumulativní úhrny srážek v roce 2019 (dle ČHMÚ)
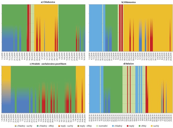
Graf 7: Charakteristika jednotlivých dnů v roce 2019
Srážky
Poněkud lepší oproti předchozímu roku byla situace i u srážek, ačkoliv i v roce 2019 měla ještě daleko k ideálnímu stavu. Kumulativní úhrny, tj. postupné sčítání jednotlivých denních úhrnů srážek, znázorněné na grafu 6, ukazují, že se na zpracovaném území naší republiky projevovaly rozdíly jak v celkovém množství srážek, tak i v jejich časovém rozložení. Zimní měsíce byly srážkově vydatnější, což umožnilo vytvořit v půdě alespoň nějakou zásobu do začátku jarního období. Během něj však již prakticky nepršelo, což dokládají vodorovné úseky čar na grafu, táhnoucí se na většině lokalit od poloviny března až do konce dubna. Květen byl opět vodnější a ve spojení s nižšími teplotami vzduchu došlo i k pozvolnému doplňování vláhy ve svrchních vrstvách půdy. V průběhu června jich ale zase v důsledku nižších srážek a vyšších teplot začalo ubývat. Nižší úhrny srážek v červnu a červenci byly zejména na severní Moravě a v jižní části Vysočiny, avšak v srpnu se vláhová bilance na severní Moravě výrazně zlepšila. Z hlediska absolutních hodnot srážkových úhrnů nejvíce napršelo v oblasti Žďáru nad Sázavou a Nového Města na Moravě, na opačném konci řady se pak nachází Jihlava a tradičně Znojemsko reprezentované stanicí v Kuchařovicích. Dosažené úhrny srážek by se na mnoha lokalitách mohly zdát dostačující, je však zapotřebí mít na paměti i již uvedené zvyšování teplot vedoucí k zvýšené evapotranspiraci. Vyšší teploty v mimovegetačním období vedou k výparu vláhy i v těchto měsících a k poklesu půdní vlhkosti, tedy jevu, jež se v minulosti většinou nevyskytoval, půdní vlhkost začínala klesat až s rozvojem vegetace koncem dubna.
Kombinace teplotních a vlhkostních podmínek pro vybrané lokality jsou na grafech 7 a-d. V podstatě komplexní formou potvrzují výše uvedené údaje hovořící o chladném a vlhkém jaru, suchém a teplém červnu a červenci a proměnlivém srpnu. Za povšimnutí stojí graf pro Hrádek na Znojemsku (graf 7c), kde byly brambory pěstovány pod závlahou a po většinu vegetačního období se pro ně podařilo zajistit dostatečnou vlhkost půdy. S klesající nadmořskou výškou pochopitelně vzrůstá i počet teplých dnů, v nichž se již brambory necítí komfortně, nejvíce jich je tedy v Hrádku.

Automatické meteorologické stanice jsou zdrojem dat pro prognózu a signalizaci plísně bramboru
Počasí a výskyt plísně bramboru
S průběhem povětrnostních podmínek velmi úzce souvisí i výskyt chorob a škůdců. Poměrně dobře jsou zpracovány podmínky pro výskyt plísně bramboru, neboť ještě v nedávné minulosti, kdy byly srážky četnější a vydatnější, představovala významnou chorobu brambor. V našich oblastech byla v posledních letech za účelem její signalizace vypracována metoda indexu, která je k dispozici členům Poradenského svazu Bramborářský kroužek na jeho webových stránkách s denní aktualizací v průběhu vegetační sezony. Pro vybrané lokality jsou výstupy této metody znázorněny na grafech 8 až 11. K prvním infekčním periodám loni došlo na rozhraní druhé a třetí červnové dekády. K projevům choroby docházelo v tomto období však jenom výjimečně na příhodných lokalitách s dostatečnými zdroji infekce, avšak i na těchto místech nastala poměrně rychlá eradikace patogena v důsledku suchého počasí s poměrně vysokými teplotami. Další poměrně výraznější a déletrvající infekční periody se vyskytly na začátku srpna, po jejichž ukončení byly zjištěny výskyty plísně opět na lokalitách buď neošetřovaných, anebo s vhodnými mikroklimatickými podmínkami, na nichž se plíseň častěji vyskytovala i v minulých letech.
Do roku 2014 se většinou první výskyty plísně objevovaly na kontrolních neošetřovaných plochách po proběhnutí prvních infekčních period. V následujících suchých a teplých letech se však plíseň objevila většinou až po výraznějších letních infekcích, ovšem za předpokladu, že na počátku vegetace byl výskyt infekční periody, přičemž loňský rok byl jenom potvrzením tohoto pravidla.
Graf 8: Pětidenní úhrny indexu pro signalizaci závažnosti podmínek pro výskyt plísně bramboru v roce 2019 - Valečov
Graf 9: Pětidenní úhrny indexu pro signalizaci závažnosti podmínek pro výskyt plísně bramboru v roce 2019 - Lípa u H. Brodu
Graf 10: Pětidenní úhrny indexu pro signalizaci závažnosti podmínek pro výskyt plísně bramboru v roce 2019 - Velhartice
Graf 11: Pětidenní úhrny indexu pro signalizaci závažnosti podmínek pro výskyt plísně bramboru v roce 2019 - Chlebovice
Co bude dál?
Rychlost, s jakou se mění povětrnostní podmínky u nás v rámci globální změny klimatu, včetně jejich variability, vyvolává celou řadu otázek a obav ohledně budoucího vývoje. Stále častěji se vyskytují roky se silně anomálními hodnotami v některé charakteristice, ať již jsou to vysoké teploty, přívalové deště, nedostatek srážek a jejich nerovnoměrné časové rozložení, pozdní jarní mrazíky apod. To vše vyvolává celou řadu nutných adaptačních opatření vedoucích k udržení zemědělské produkce. Neboť tak jak během několika málo let prakticky zkolabovaly smrkové porosty na většině našeho území, což ještě nedávno málokdo předpokládal, může zcela nečekaně dojít k výraznému narušení některého z dalších ekosystémů nezbytného pro produkci potravin, a to i v celoplanetárním měřítku.
Jednou z mála pozitivních věcí na celé této situaci je skutečnost, že klimatologie jako věda se z oblasti spíše popisné klimatografie vypracovala do stavu, kdy umožňuje predikovat a modelovat předpokládaný vývoj klimatu v závislosti na chování lidské společnosti. Jestliže byla v minulosti vědou spíše pro několik vážných zájemců a málokdo o ní věděl, v současnosti se dostává do popředí zájmu veřejnosti a nastoluje závažné otázky ohledně budoucího vývoje nejen klimatu a poskytuje podklady pro jejich případné zodpovědění.
Příspěvek vznikl na základě výsledků v rámci institucionální podpory na dlouhodobý koncepční rozvoj výzkumné organizace reg. č. MZE-RO1620
RNDr. Tomáš Litschmann, Ph.D.; AMET Velké Bílovice
Ing. Petr Doležal, Ph.D., Ing. Ervín Hausvater, CSc.; Výzkumný ústav bramborářský Havlíčkův Brod, s.r.o.
Další články v kategorii Choroby












RSS
RSS